1. Fundamental Concepts
- Definition: Long division of polynomials is a method to divide one polynomial by another, similar to the long division of numbers.
- Dividend and Divisor: The polynomial being divided is called the dividend, and the polynomial dividing it is called the divisor.
- Quotient and Remainder: The result of the division is the quotient, and any leftover part is the remainder. The degree of the remainder is always less than the degree of the divisor. If the remainder is 0, the divisor is a factor of the dividend.
2. Key Concepts
The final answer is expressed in the form: (Dividend) / (Divisor) = Quotient + Remainder/(Divisor)
Core steps: Arrange: Write both dividend and divisor in descending order of exponents. (fill in missing degree terms with a coefficient of 0, e.g., x3 - 2x + 1 becomes x3 + 0x2 - 2x + 1).
Divide: Divide the leading term of the dividend by the leading term of the divisor to get the first term of the quotient.
Multiply: Multiply the entire divisor by this quotient term
Subtract and bring down: Subtract the product from the dividend (remember to distribute the negative sign!) and bring down the next term.
Repeat: Repeat the process with the new polynomial (remainder). The process stops when the remainder's degree is less than the divisor's degree.
Application: Used in simplifying rational expressions and solving polynomial equations.
3. Examples
Example 1 (Basic)
Problem: Divide the polynomial 2x3 + 3x2 + x + 6 by x + 2. The quotient is ______ and the remainder is ______.
Step-by-Step Solution:

Quotient: 2x2 - x + 3, Remainder: 0
Validation: (x + 2)( 2x2 - x + 3) + 0 = 2x3 + 4x2 - x2 - 2x + 3x + 6 = 2x3 + 3x2 + x + 6 ✓
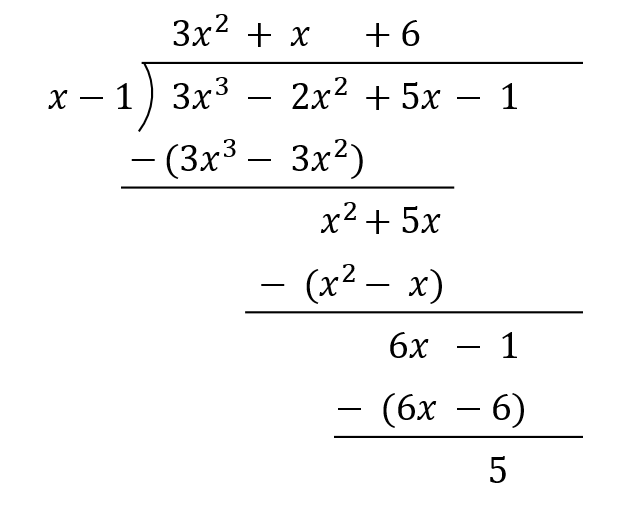
Example 2 (Intermediate)
Problem: Divide the polynomial 3x3 - 2x2 + 5x - 1 by x - 1. The quotient is ______ and the remainder is ______.
Step-by-Step Solution:
Quotient: 3x2 + x + 6, Remainder: 5
Validation: (x - 1)(3x2 + x + 6) + 5 = (3x3 - 3x2 + x2 - x + 6x - 6) + 5 = 3x3 - 2x2 + 5x - 1 ✓
Example 3 (Intermediate)
Problem: Divide the polynomial 2x⁴ - 3x³ + 4x² - 5 by x² + 2.. The quotient is ______ and the remainder is ______.
Step-by-Step Solution:
Quotient: 2x² - 3x, Remainder: 6x - 5
Validation: (x² + 2)(2x² - 3x) + (6x - 5) = (2x4 - 3x2 + 4x2 - 6x) + (6x - 5) = 2x4 - 3x2 + 4x2 - 6x + 6x - 5 = 2x⁴ - 3x³ + 4x² - 5 ✓
4. Problem-Solving Techniques
- Always check for missing powers in the dividend. (e.g., write x3 + 0x2 + 5x + 7 if there's no x2 term).
- Be careful with subtraction: When subtracting the product of the divisor and quotient term, distribute the negative sign to all terms in the product. A common error is forgetting to flip signs of the product's terms.
- Check your work: Verify by plugging back into the formula: Dividend = Divisor × Quotient + Remainder. This catches calculation errors (e.g., in Example 2: (x - 1)(3x2 + x + 6) + 5 = 3x3 - 2x2 + 5x - 1, which matches the dividend).

